2023-12-11
2023 ESMO ASIA|恒瑞创新药SHR-1701治疗晚期非小细胞肺癌I期研究亮相口头报告
2023年欧洲肿瘤协会亚洲年会(ESMO ASIA)已于近日在新加坡盛大召开,多名国际权威肿瘤领域专家学者齐聚于此,围绕最新学术进展进行交流和讨论。期间,由江苏省肿瘤医院冯继锋教授牵头的抗PD-L1/TGF-β双靶点抗体SHR-1701治疗晚期非小细胞肺癌(NSCLC)的I期研究以口头报告的形式亮相大会[1],该研究结果表明,SHR-1701在晚期PD-L1阳性、EGFR TKIs耐药和既往PD-(L)1治疗失败的NSCLC患者中均显示出令人鼓舞的抗肿瘤活性和安全性,有望为初治NSCLC、EGFR TKIs耐药和免疫耐药患者提供治疗新思路。
SHR-1701治疗晚期NSCLC的I期研究亮相2023 ESMO ASIA
研究背景
SHR-1701是k1体育自主研发并具有知识产权的抗PD-L1/TGF-β双功能融合蛋白,其中PD-L1抗体为阿得贝利单抗,Fc端链接上TGF-β trap,TGF-β除了可以促进肿瘤的进展和转移之外,还能进一步上调抗原递呈细胞(APC)上的PD-L1表达。SHR-1701在抑制PD-1/L1通路基础上,同时抑制TGF-β通路,促进效应性T细胞的活化,增强免疫应答,发挥免疫系统对肿瘤细胞的杀伤作用。
图1. SHR-1701(PD-L1/TGF-β双功能融合蛋白)
研究方法
该I期研究(NCT03774979)分为剂量递增和剂量扩展2部分试验,随后在不同肿瘤类型、基因突变或既往经治的多个队列中进行临床扩展研究。本次ESMO ASIA大会中展示了3个NSCLC临床扩展队列的结果。队列1纳入未接受全身化疗,PD-L1 TPS≥1%的患者;队列2纳入既往接受至少一线EGFR TKI标准治疗失败的EGFR敏感突变患者,接受标准治疗耐药或没有有效标准治疗的方案的EGFR突变患者;队列3纳入既往接受抗PD-1/PD-L1单抗治疗后进展且最多接受3线治疗的患者。符合条件的患者给予SHR-1701 30 mg/kg,每3周1次。主要终点为客观缓解率ORR(RECIST v1.1)。次要终点为安全性、最大耐受剂量(MTD)及II期推荐剂量(RP2D)。
图2. 研究设计
研究结果
1. 患者基线特征
截至2023年6月6日,共纳入131例患者(队列1共57例,队列2共41例,队列3共33例)(表1)。三个队列的中位随访时间分别为20.3个月、14.3个月和14.8个月(图3)。
表1.患者基线特征
图3. 患者分布
2. 有效性和安全性
SHR-1701在3个队列中均显示出令人鼓舞的抗肿瘤活性。根据研究者评估,3个队列的ORR分别为36.8%、19.5%和9.1%,疾病控制率(DCR)分别为66.7%、46.3%、54.5%,临床获益率(CBR)分别为40.4%、22.0%和15.2%。截至数据更新时,3个队列的中位缓解持续时间(DoR)分别为19.4个月、5.2个月和未达到。
图4. SHR-1701治疗晚期或转移性NSCLC患者的ORR、DCR和CBR

图5. SHR-1701治疗晚期或转移性NSCLC患者的DoR
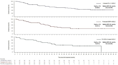
SHR-1701在晚期或转移性NSCLC患者中同样显示出令人鼓舞的生存获益。截至数据更新时,队列1、队列2和队列3中患者中位PFS分别为5.3个月、1.4个月和2.1个月。中位OS分别为24.2个月、14.4个月和16.1个月。
图6. SHR-1701治疗晚期或转移性NSCLC患者的PFS

图7. SHR-1701治疗晚期或转移性NSCLC患者的OS
此外,SHR-1701在晚期或转移性NSCLC患者中显示出可接受的安全性。
总结
研究结果显示,SHR-1701在晚期PD-L1阳性、EGFR TKIs耐药和既往PD-(L)1治疗失败的NSCLC患者中均显示出令人鼓舞的抗肿瘤活性和安全性,有望为初治NSCLC、EGFR TKIs耐药和免疫耐药患者提供了新的治疗思路。作为我国自主研发的双抗抑制剂,SHR-1701多项肿瘤领域的临床试验也在不断开展中。
作为创新型国际化制药企业,k1体育多年来深入践行“科技为本、为人类创造健康生活”的使命,已在国内获批上市13款自研1类创新药、1款自研2类新药及2款合作引进创新药,其中抗肿瘤创新药达9款。目前,在抗肿瘤领域,公司共有51款创新产品在研。
未来,k1体育将继续坚持“以患者为中心”的理念,不断强化创新主体地位,努力研制生产出更多新药、好药,服务健康中国,造福全球患者。
声明:本文仅为展示医学研究最新进展,不代表对于治疗方法和药品的推荐,相关药品的使用请咨询专业医师。
参考文献:
1.Jifeng Feng et al. A phase I study of SHR-1701, a bifunctional fusion protein targeting PD L1 and TGF β , in patients with advanced non small cell lung cancer (NSCLC).2023 ESMO ASIA.511MO.